The stability of quartz tubes in a vacuum environment is closely related to wall thickness. Unlike internal pressure resistance, vacuum conditions primarily involve the compressive effect of external atmospheric pressure (0.1 MPa) on the tube wall, i.e., the problem of external pressure stability. Below is a detailed analysis:
1. Failure Mechanisms of Quartz Tubes Under Vacuum
Quartz is a brittle material with very high compressive strength (~1100 MPa). However, under vacuum conditions, the main failure modes are:
- Buckling instability: Tube walls are compressed inward by atmospheric pressure, leading to structural collapse (similar to a straw being crushed).
- Microcrack propagation: If there are defects on the quartz surface, vacuum may cause cracks to expand, reducing strength.
Key influencing factors:
- Ratio of wall thickness (t) to outer diameter (D) (t/D)
- Ratio of length (L) to diameter (slenderness ratio)
- Material uniformity (absence of bubbles or microcracks)
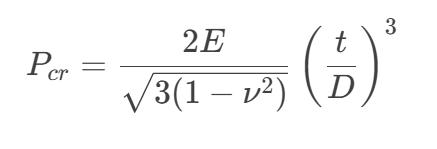
2. Theoretical Calculation (Critical Buckling Pressure)
For long cylindrical thin-walled tubes, the critical buckling pressure (Pcr) can be estimated using the Bresse formula:

- E = Elastic modulus of quartz (72 GPa)
- ν = Poisson’s ratio (0.17)
- t = Wall thickness (mm)
- D = Outer diameter (mm)
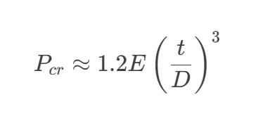
Simplified formula (valid when L/D > 5):

Calculation Examples
Outer Diameter D (mm) | Wall Thickness t (mm) | t/D | Critical Buckling Pressure Pcr (MPa) | Vacuum Resistant (0.1 MPa)? |
---|---|---|---|---|
10 | 1.0 | 0.1 | 0.086 | ❌ Possibly collapses |
10 | 2.0 | 0.2 | 0.691 | ✅ Safe |
20 | 1.0 | 0.05 | 0.011 | ❌ Extremely unstable |
20 | 3.0 | 0.15 | 0.437 | ✅ Safe |
Conclusion:
When t/D ≥ 0.1 (i.e., wall thickness ≥ 10% of outer diameter), quartz tubes can withstand standard vacuum (0.1 MPa).
For long tubes (L/D > 20), additional wall thickness or support structures (such as internal reinforcement) are required.

3. Practical Application Recommendations
- Safe Wall Thickness Selection
- Short tubes (L < 200 mm): t/D ≥ 0.1 (e.g., outer diameter 10 mm → wall thickness ≥ 1 mm).
- Long tubes (L > 500 mm): t/D ≥ 0.15 (e.g., outer diameter 10 mm → wall thickness ≥ 1.5 mm), or use segmented supports (such as flanges).
- Special Requirements for High Vacuum (<10⁻³ Pa)
- Wall thickness should be further increased (t/D ≥ 0.2) to prevent leakage or gas permeation.
- End sealing: metal flanges with O-rings are recommended instead of adhesives, which may outgas.
- Your Experimental Scenario (1 m tube)
- If outer diameter = 9.53 mm:
Minimum safe wall thickness: t ≥ 0.15 × 9.53 ≈ 1.43 mm → recommendation ≥ 2 mm. - For ultra-high vacuum: select wall thickness ≥ 3 mm, or use quartz tube with stainless steel lining.
- If outer diameter = 9.53 mm:
4. Comparison With Internal Pressure Resistance
Characteristics | Internal Pressure Resistance | Vacuum Resistance (External Pressure) |
---|---|---|
Failure Mode | Tensile rupture (hoop stress) | Buckling collapse (axial compression) |
Key Formula | F₁ | F₂ |
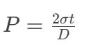
Wall Thickness Effect | Linear proportional (P ∝ t) | Cubic relationship (Pcr ∝ t³) |
Your Requirement | 10 MPa → wall thickness ≥ 3.5 mm | Vacuum → wall thickness ≥ 1.5 mm |
Formula Reference:
- F₁ (Internal Pressure):

- F₂ (Vacuum Resistance

5. Comprehensive Recommendations
- Prioritize high-pressure requirements:
Your experiment requires internal pressure of 10 MPa → wall thickness ≥ 3.5 mm (outer diameter ≈ 14–15 mm).
This wall thickness already exceeds vacuum safety requirements (t/D ≈ 0.25), so no additional reinforcement is needed. - Anti-buckling measures for long tubes:
For tubes ≥ 1 m, use metal flanges at both ends to prevent midsection bending. - Technical communication key points:
Clearly define: “At room temperature, non-corrosive gas, inner diameter 7.75 mm, wall thickness 3.5 mm, resistant to internal pressure 10 MPa + vacuum 0.1 MPa.”
If possible, obtain vacuum leakage rate test data (e.g., <10⁻⁹ Pa·m³/s).
Conclusion
- Vacuum resistance and wall thickness have a cubic relationship. Even a small increase in wall thickness significantly improves stability.
- Our design (wall thickness 3.5 mm) meets both high-pressure and vacuum requirements, provided the end sealing is reliable.
- If there are other technical details not mentioned, they must be clarified, as any missing key data will directly affect quartz tube design and experimental outcomes.